• 그리디 알고리즘이란?
각각의 수행시점에서 가능한 해 중 가장 최적해를 찾아 나가는 알고리즘.
즉 근시안적인 최적해를 찾는다고 할 수 있으며 이러한 근시안적 최적해들을 모아서 최종적으로
문제의 최적해를 구한다.
그러나 경우에 따라 수행시점마다의 선택이 해당 시점에 대해서는 부분적으론 최적이지만,
그 선택들을 수집해 최종으로 도출한 해답이 전체적으로 최적이라는 보장은 없다.

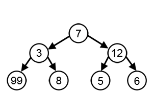
위의 예시에서 해당 트리를 그리디로 접근 시 가장 큰 수는 6이라는 결과가 나오지만
실제로 가장 큰 수는 99이므로 그리디 알고리즘이 최적해를 구하지 못하게 된다.
• 그리디로 접근하여 최적해를 구하기 위해 2가지 조건
1) 탐욕적 선택 속성 (Greedy Choice Property) : 이전의 선택이 이후에 영향을 주지 않음.
2) 최적 부분 구조 (Optimal Substructure) : 부분문제의 최적해가 전체에도 그대로 적용 가능함.
하지만 이러한 조건이 성립하지 않는 경우에도 탐욕 알고리즘은 근사 알고리즘으로써 사용할 수 있다.
이는 정확한 알고리즘에 비해 계산 속도가 빠른 경우가 많기 때문에 실용적으로 사용이 가능하나
이것이 가용 가능한 값에 어느정도 근사한지에 대해선 정확한 증명이 수반될 수 있다.
그리고 어떠한 특별한 조건을 만족해 그리디 알고리즘이 항상 최적해를 구할 수 있는 문제가 있으며
이를 매트로이드라고 한다.
이러한 조건이 만족하는 대표적인 문제로 거스름 돈 문제, 활동 선택 문제 등 이 있다.
[백준] 11047 동전 0 - Greedy / Java
• 문제 링크 11047번: 동전 0 첫째 줄에 N과 K가 주어진다. (1 ≤ N ≤ 10, 1 ≤ K ≤ 100,000,000) 둘째 줄부터 N개의 줄에 동전의 가치 Ai가 오름차순으로 주어진다. (1 ≤ Ai ≤ 1,000,000, A1 = 1, i ≥ 2인..
graycode.tistory.com
해당 문제에서 동전 서로 Ai는 Ai-1의 배수관계가 있는 특수한 조건이 있으며
위의 2가지 조건을 만족하는 구조이므로 그리디 알고리즘으로 접근해 항상 최적해를 구할 수 있는 문제이다.
'Computer Science > Algorithm' 카테고리의 다른 글
| [알고리즘] 완전 탐색 (Exhaustive Search) (0) | 2022.05.23 |
|---|---|
| [알고리즘] 그래프 순회 (Graph Traversal) (0) | 2022.05.16 |
| [알고리즘] 동적 계획법 (Dynamic Programming) (0) | 2022.05.06 |
댓글